21+ Series Rlc Voltage Or Impedance Totals Must Be Calculated By:

The outcomes could determine which party controls the US House of Representatives. Democrats hold an overall edge across the states competitive districts.


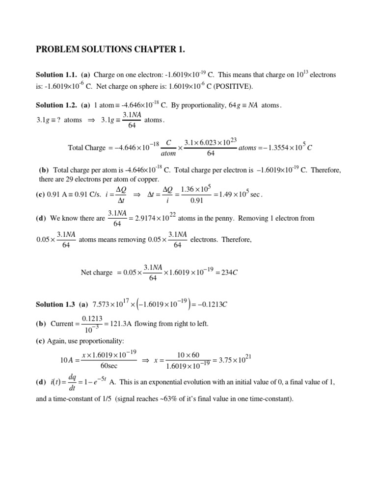
Solution Manual Linear Circuits Analysis 2e Decarlo Pdf Electrical Network Series And Parallel Circuits

Microsoft has responded to a list of concerns regarding its ongoing 68bn attempt to buy Activision Blizzard as raised by the UKs Competition and Markets Authority CMA and come up with an.

. The TV-series nici qid Akkommodation zum Thema nici qid really good with a plethora of excellent Vorsprechen choices. Aliena is one of the best female protagonists in Literature and Waleran with William Hamleigh Treffen for the title of the best villain in the Art. Microsoft describes the CMAs concerns as misplaced and says that.

Microsoft pleaded for its deal on the day of the Phase 2 decision last month but now the gloves are well and truly off. Key findings include. A footnote in Microsofts submission to the UKs Competition and Markets Authority CMA has let slip the reason behind Call of Dutys absence from the Xbox Game Pass library.

Microsofts Activision Blizzard deal is key to the companys mobile gaming efforts. The 5th Circuit Court of Appeals ruling sets up a major legal battle and could create uncertainty for fintechs. Microsoft is quietly building a mobile Xbox store that will rely on Activision and King games.

Prop 30 is supported by a coalition including CalFire Firefighters the American Lung Association environmental organizations electrical workers and businesses that want to improve Californias air quality by fighting and preventing wildfires and reducing air pollution from vehicles. Proposition 30 on reducing greenhouse gas emissions has lost ground in the past month with support among likely voters now falling short of a majority. Four in ten likely voters are.

The underbanked represented 14 of US. Ian McShane Matthew McFadyen Rufus Sewell and David Oakes steal the Gig. Those who have a checking or savings account but also use financial alternatives like check cashing services are considered underbanked.


Fundamentals Of Electrical Engineering I Erzen Kurti Academia Edu


The Value Of Impedance In Parallel Lc Circuit At Resonance Is Assuming Inductor Youtube


Solved Series Rlc Voltage Or Impedance Totals Must Be Chegg Com


An Inductor 20 Mh A Capacitor 50 Mu F And A Resistor 40 W Are Connected In Series Across A Source Of Emf V 10sin 340t The Power Loss In A C Circuit Is


Series Rlc Circuit Impedance Calculator Electrical Rf And Electronics Calculators Online Unit Converters


Experiment 5 Data Sheet 1 Measured Value Of 16 Chegg Com


High Frequency Electronics November 2008 Online Edition


Series Rlc Circuits Resonant Frequency Inductive Reactance Capacitive Reactance Ac Circuits Youtube


Rc Coupled Amplifier What Is It Working Principle Applications Electrical4u


Rlc Series Circuit Impedance And Resonance Frequency Calculator


2016 Extra Class Study Guide E5b Time Constants Phase Relationships Admittance Susceptance Kb6nu S Ham Radio Blog


Spring Ucsc Extension Silicon Valley


Solved Series Rlc Voltage Or Impedance Totals Must Be Chegg Com


Vacuum Tube Amplifiers Valley Wallman 1948 Italy


Solved Calculate The Dependent Source Voltage V B In The Given Cir


How To Calculate Total Impedance In A Series Rlc Circuit With Multiple Resistors Capacitors And Inductors Quora


Solved Series Rlc Voltage Or Impedance Totals Must Be Chegg Com

Iklan Atas Artikel

Iklan Tengah Artikel 1

Iklan Tengah Artikel 2

Iklan Bawah Artikel